|
■階乗 順列や組み合わせでは、4×3×2×1のように整数を階段状に掛ける計算がしばしば登場します。これを表すために、階乗という記号を使います。
【階乗の定義】
正の整数nから1つずつ小さい整数を1まで順に掛けた積を n!で表します。
n!=n×(n-1)×・・・×3×2×1
階乗は、正の整数に対して定義されていますので、(-2)! のような「負の数の階乗」や、1.5! のような「小数値の階乗」は定義されません。0!は後に順列や組合せに関連して、別途定義されます。 【階乗の例】
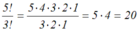
このように階乗は、階段状に次々と掛ける計算になりますので、nが大きくなると急速に大きくなり、 100! (158桁の整数)などは筆算や普通のコンピュータソフトでは求められません. |
||
|
【駅の風景で分かる階乗計算】 ≪階乗の割り算:5!÷4!を求めるには≫ 5両編成の列車の前に4両編成の列車を止めると5両目が見えます ![]()
(参考)より進んだ学習のために
大学では,階乗記号を重ねたものは別の意味が定義されています.
3!!は(3!)!→6!=720ではなく,奇数だけを掛けたもの3!!=3×1=3を表す.
同様にして4!!は(4!)!→24!ではなく,偶数だけを掛けたもの4!!=4×2=8を表す. ⇒ 高校ではn!!という記号はうっかり使わない方がよい. |
|
≪問題≫次の値を求めてください.
(1)
4!+6!
HELP 4!=4×3×2×1=24 6!=6×5×4×3×2×1=720 だから 4!+6!=24+720=744 別々に求めて,後から足すようにします. |
|
(2)
(2+3)!
HELP かっこの中を先に計算します. (2+3)!=5!=5×4×3×2×1=120 階乗のかっこは単純にははずれないので,次のような間違いをしないように気をつけましょう. |
|
(3)
(7−5)!
HELP かっこの中を先に計算します. (7−5)!=2!=2×1=2 階乗のかっこは単純にははずれないので,次のような間違いをしないように気をつけましょう. |
|
(4)
HELP 解説の階乗計算の例にあるように,できるだけ約分して簡単にします. ==7×6=42 |
|
(5)
1!×0!
HELP 0!=1です.(本来,階乗記号は正の整数に対して定義されますが,0!は解説にあるように,順列・組合せの公式を煩わしい制約なしに使えるようにするための「約束事」です.) 他方で,1!も1なので 結局,1!×0!=1×1=1になります. |
|
(6)
HELP 解説の階乗計算の例にあるように,できるだけ約分して簡単にします. ===15 |
|
|
■[個別の頁からの質問に対する回答][階乗について/17.8.3]
何も知らない中学生でしたが、五分くらいで階乗についての簡単な理解が可能でした
=>[作者]:連絡ありがとう. |
|
|